信达业务

您的位置: 首页 > 信达业务 > 信用交易 > 公告信息

返回上一步

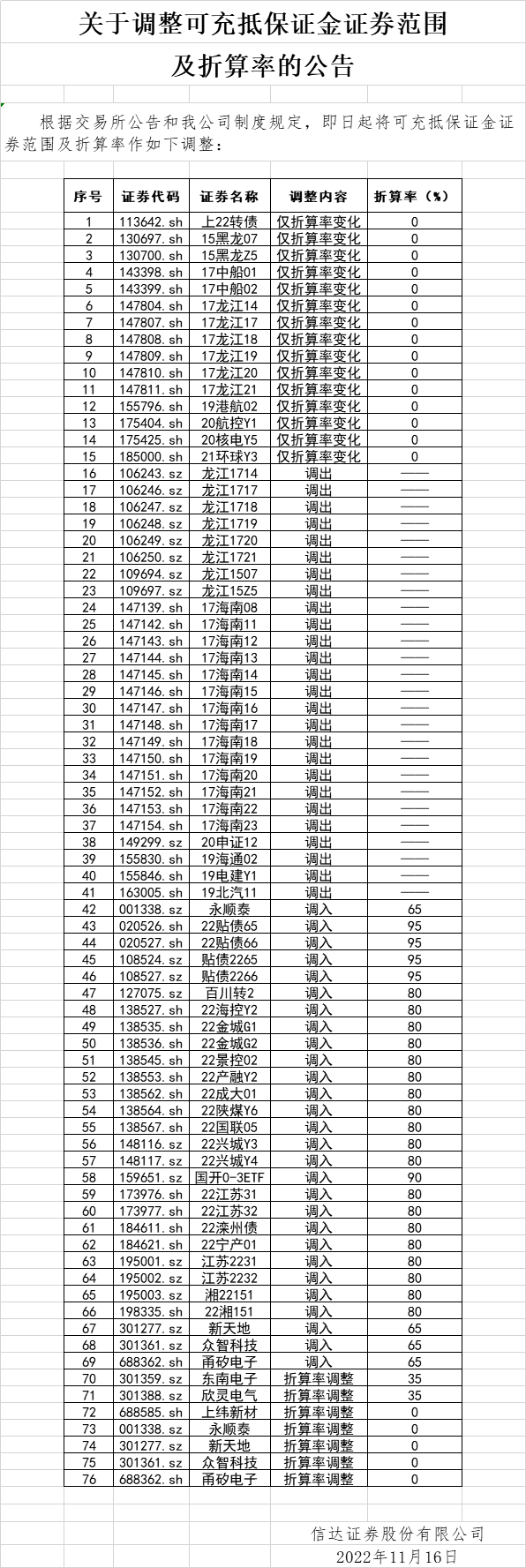
可充抵保证金证券调整公告(2022-11-16)

作者: 来源: 发表日期:2022-11-16



  • 上一篇:可充抵保证金证券投票信息(2022-11-16)
  • 下一篇:标的证券信息提示(2022-11-15)